NEWS TRENDS
    首页>>新闻动态>>公司新闻>>简讯】全国排名第36位|十二载荣光加冕 求是监理再登全国百强
    简讯】全国排名第36位|十二载荣光加冕 求是监理再登全国百强
       

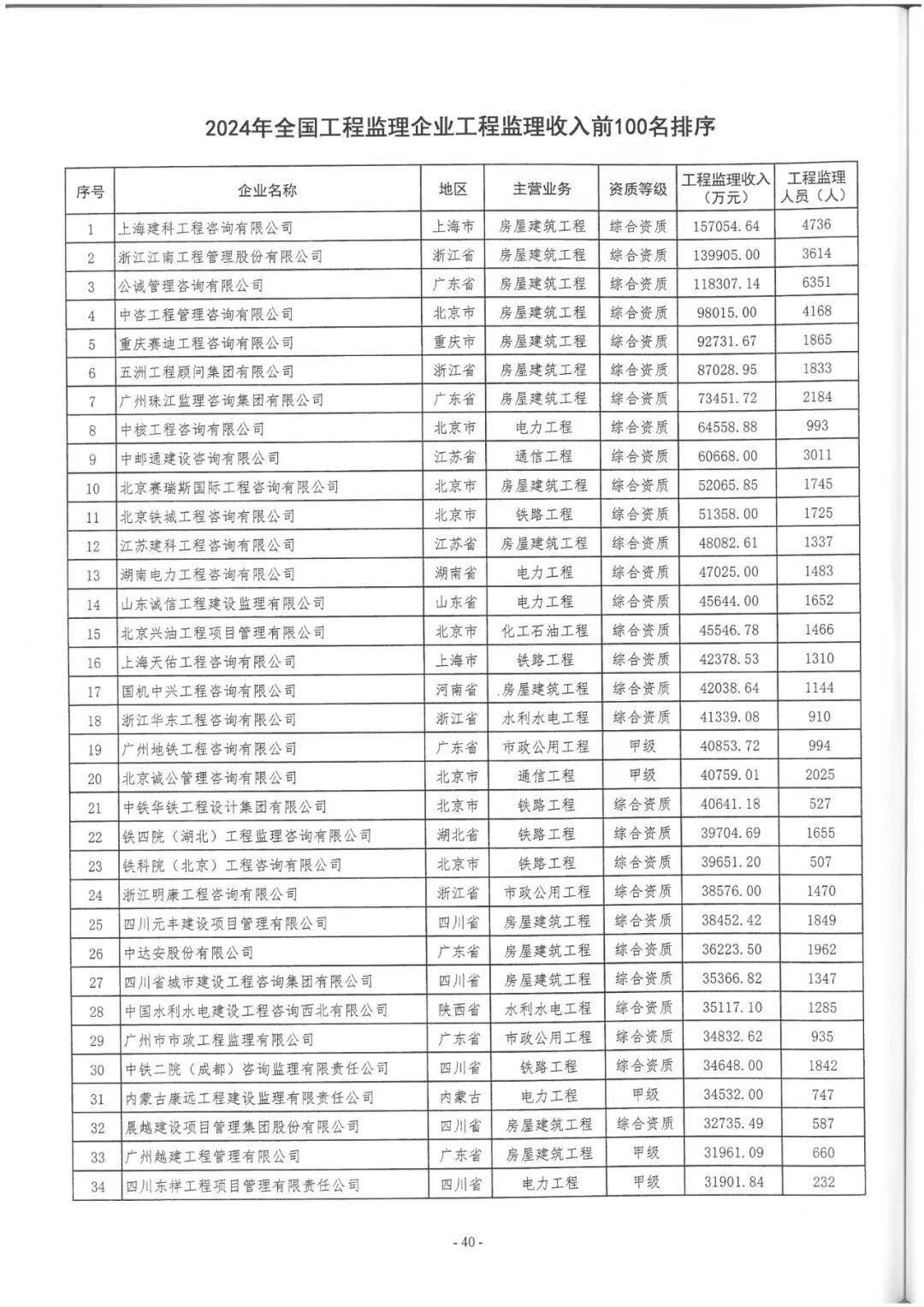
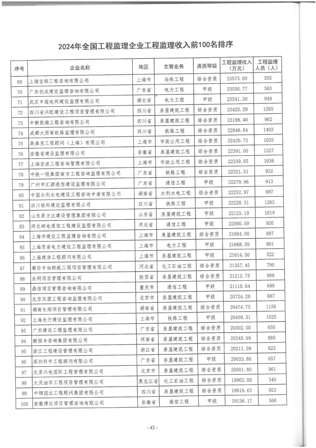
    2025年7月,国家住房和城乡建设部下发由建筑市场监管司组织编写的《2024年度全国建设工程监理统计资料汇编》,公布了《2024年全国工程监理企业工程监理收入前100名排序》,其中浙江求是工程咨询监理有限公司位居第36名。求是咨询凭借深厚的专业积淀与卓越的服务实力,连续第12年跻身全国监理百强行列。这份跨越十二载的荣誉,既是行业对求是监理专业能力的高度认可,更是市场与业主对求是"诚赢未来"理念的持久信赖。


    作为国家高新技术企业、杭州市文明单位,求是监理的百强之路,是专业能力持续的成长之路。公司构建了覆盖全过程工程咨询、项目管理、工程监理、招标代理、造价咨询等领域的全产业链服务体系,业务涵盖房屋建筑、市政基础设施、新能源、体育场馆等多个专业领域。十二载百强殊荣的背后,是人才团队的坚实支撑与管理体系的持续完善。在监理工作中严守质量底线,用专业服务为工程安全保驾护航。求是公司将继续以专业立本、以诚信致远,在全过程工程咨询的赛道上持续创新,为社会打造更多优质工程,以实干与坚守诠释行业标杆的责任与使命!


    • Copyright@ 2014 ZJQIUSHI.CN All Rights Reserved
    • 浙江求是工程咨询监理有限公司 版权所有 | 法律声明 | 服务客户